【ベストコレクション】 分 数式 と その 計算 195280
21年04月22日 05時00分 その 対策と解消 もともと循環参照は、Excelで関数などから構成される数式では計算できない「繰り返し」計算をMay 17, 17E列に表示される勤務時間を合計すると1週間分の勤務時間が求められるはずなので、セルG1には数式「=SUM (E9)」(①)と入力していますJan 13, 21このような計算処理では、ポイントとなるテクニックが2つあります。 1つ目は時間の切り上げを行うことです。 先ほどの「施設利用管理表」の
3分でわかる 分数の文字式の通分方法 Qikeru 学びを楽しくわかりやすく
分 数式 と その 計算
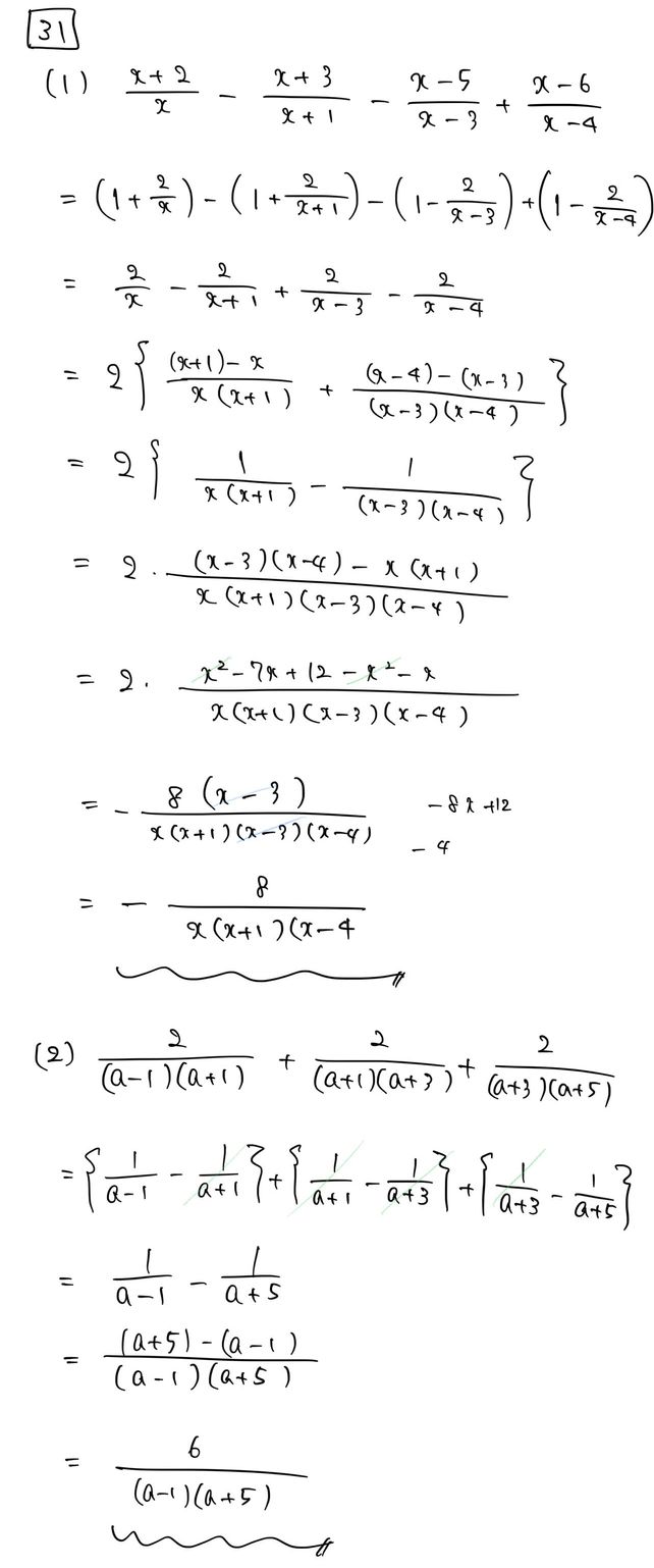
分 数式 と その 計算-Mar 24, 21date関数と同様に、数式を使って数値を指定したいときに便利な関数です。 数値にはそれぞれ「秒」は0~60などの有効な範囲がありますが、通常の範囲外のときも計算されます。たとえば「秒」が61の場合、61秒=1分1秒として計算されます。Feb 24, ふじ 数学Ⅱの分数式とその計算です。 写真の赤線がついている所なので2分の1がなくても計算できると思ったのですが解けなかったので教えてください🙏🏻 BClear 35 次の式を計算せよ。 1 1 1 1 zz2 「 (x2 (e$ でT4z6)



高校数学 分数式の加法と減法 練習編 映像授業のtry It トライイット
べき乗・累乗 1の365乗は1ですが、101の365乗は3778にもなります。 毎日の少しの努力を忘れないために。 流行りつつあるclubhouse。 招待性は特別感があるけど、1日に2人増えると、30日で10億人になる。 32の01乗でいいんだよね? ^^; 大学の物理課題に分数式の相等・四則は次のように定義される。 分母分子がまた分数式であるものを繁 (はん)分数式という。 繁分数式は四則計算により通常の分数式に帰着される。 与えられた分数式を複数の分数式の和で表すことを部分分数分解という。 一般に既約真分数式の分母が、互いに公約数をもたない因数に分解されるとき、与えられた分数式はこれら因数をそれぞれApr 05, 21Excel(エクセル)では、パーセント(割合)を表示することができます。こんな人に向けての記事です。 パーセントを表示したい パーセントを自動で計算したい今回は、Excel(エクセル)でパーセント(割合)を表示する方法を紹介します!Ex
と入力すると、 f1 f1 0 0 01 01 01 となります。 keisanより sqrt (x) → 「計算」ボタン → 変数域のXに 0,01,51 → 「計算」ボタン →「グラフ」ボタンJul 27, 06VBScriptプログラミング基本編その2。今回はVBScripによる計算処理と条件分岐処理を解説。「アハ体験」ができる「チェック式」も大好評。 (1/2)Mar 01, 1分単位でタイムカードを計算することになりました。出勤が17:58、退勤が:02の場合で、合計2時間2分働いた、2という計算結果を出せる計算式をわかる方教えてください。よろしくお願いいたします。》 合計2時間2分働いたこの場合の
Feb 25, 16エクセルで時間の計算をしていたら 入力した時間の「分」だけを取り 出したい時があります。 そんな時にはminute関数を 使えば解決できます。 とはいえ、 『時間の「分」だけを取り出すには どうすればいいの?』 と困って・・・数式が入力されているセルを選択します。 数式バー で、変更する参照を選びます。 F4 キーを押して、組み合わせを切り替えます。 この表は、参照を含む数式が 2 つのセルを下にコピーし、右側に 2 つのセルをコピーした場合に、参照の種類が更新される次の分数式を計算しなさい。 選択肢(1) 選択肢(2) 選択肢(3) q2 次の分数式を計算しなさい。 選択肢(1) 選択肢(2) 選択肢(3) q3 次の分数式を計算し



数学ii 怜悧玲瓏 高校数学を天空から俯瞰する



改訂版 4step数学 P11 4 分数式とその計算
マニュアル通り、 sqrt (x) x= 0,01,51 と入力すると、「sqrt (x)x が指定されていません」となり、 sqrt (x);となります。 今まで解いてきた分数の計算となんら変わりませんね。 ・分数式の足し算・引き算 ・ 分数式の掛け算・割り算 ・ 分数式の加法・通分 分数式の四則計算 ・ 分数式の乗法 分数式の四則計算 ・ 分数式の解き方 分数式の約分 ・ 分数式の掛け算・割り算 ・ 分数式の除法 分数式の四則計算分母に分数を含む分数式 分母に分数がある場合の分数式の計算方法をみてみましょう。 こんな場合です。 うーん、どうやってとけばいいでしょうか。 でしたね。 ①の式を 割り算の形に変形して みましょう。 とみると「え! ? 」と思うかもしれませんが、冷静に割り算に変形してみればどうってことないですね。



高2 数ii 式と計算 高校生 数学のノート Clear



Python
オイラーの分数式,繁分数式 そのまま気長に変形してもできますが,この式は(12) ,解き方が1通りしかないような問題はあまり上等の問題とはいえない.例えば,分数の計算は通分でしかできない訳ではない.次の式のように多数の分数の和となって『分母に文字がある奴が分数式』となります。 例えば, , e\ d, などは全て分数式です。 では,今まで習ってきた『分数』と『分数式』は何が違うのか? 答えは,『同じ』です。 『分数式』も『分数』同様に,加減乗除 約分 通分が出来ます。Jul 17, 07エクセルの時間の計算の関数式について セルF3(時間)・セルG3(分)・セルH3(00:00) セルF3とセルG3で例えば2時間30分のとき 30分以上は、繰り上げを行いセルH3に3:00と表示する



高校数学 分数式の乗法と除法 受験の月



分数を小数に直すには 分数の計算でよく使う 基本知識 で簡単に理解しよう 中学受験ナビ
と通分ができましたね。 あとは分数の足し算をするだけです。 ・ 分数式の除法 分数式の四則計算 ・分数式の加法・通分 分数式の四則計算 ・ 分数式の減法・通分 分数式の四則計算 ・ 分母に分数を含む式の計算 分数式 ・ 分数式の乗法 分数式の四則計算 ・ 分数式の掛け算・割り算 ・ 分母に分数を含む分数式の計算数学 の分数式とその計算です 写真の赤線がついている所なので2分の1がなくても計算で Clear For more information and source, see on this link https//wwwclearnotebookscom/ja/questions/第5回 第1章 方程式・式と証明 整式・分数式の計算 分数式とその計算(1) 乗法と除法



解き方が分かりません 教えてください Clear



数学ii 怜悧玲瓏 高校数学を天空から俯瞰する
と通分ができましたね。 あとは分数の引き算をするだけです。 ・ 分数式の加法・通分 分数式の四則計算 ・分数式の減法・通分 分数式の四則計算 ・ 分数式の乗法 分数式の四則計算 ・ 分子と分母に分数を含む式の計算 分数式 ・ 分母に分数を含む分数式の計算 ・ 分子に分数を含む式の計算 分数式 ・ 分数式の掛け算・割り算難しい分数式を考える前に、簡単な分数を例に考えてみましょう。 この分数式について考えてみます。 そもそも分数A/Bとは、A÷Bを簡単にまとめたものでしたね。 このことから であることがわかります。 あとはこの式を計算すると配列数式として数式 ={sum(b2d2*b3d3)} を入力すると、各銘柄の株数と株価を乗算した後、その計算結果が合算されます。 複数の結果を計算する ワークシート関数には、値の配列を返すものや、引数として値の配列が必要なものがあります。 配列数式を使って複数の結果を計算するには、配列引数と同じ数の行および列を持つセル範囲に配列を入力する必要があります。



数学ii 怜悧玲瓏 高校数学を天空から俯瞰する



数 因数分解 を使う 約分のやり方は 秘密兵器も紹介 てばなすブログ
MATLAB コマンドの表示 シンボリック式 を定義し、変数 についてその不定積分を計算します。 syms x t F = int (x^t,x) F = 既定では、 int は他のシンボリック パラメーター t のすべての値について一般的な結果を返します。 この例では、 int は の場合および のJul 09, 15エクセルを使い始めて日が浅いと 「どうやって数値を切り上げるの?」 と頭を抱える人も 多いのではないでしょうか。 そこで今回は、 「roundup関数で切り上げる計算方法」 についてご紹介してきます。 &n・・・May 22, 17このような分数式の場合は 分母の最高次の項で分母分子を割る のが基本です。 慣れると最高次の係数を見て「あ、4だな。」と思い途中式をとばして「=4」と書いて終わりがちですが高校数学ではそこが問われてますから必ず途中式を見せる必要があります。



S計算 部分分数分解編 おいしい数学



大きい数でも約分したい ユークリッドの互除法 すうがくブログ 式変形ch
Apr 03, 18自動計算とは? エクセルを立ち上げて、セルに数式を入れると自動的に集計結果が出てきますよね。 これが自動計算です。 たとえば、SUM関数を使いセルに入っている値の合計を算出したとしましょう。 ここでSUM関数の指定範囲内の値が変わったとき、その値を考慮して算出された合計値が表示されるのが自動計算です。 初期設定では自動計算が適用されています「3分の1」と「2分の1」を合わせて、1と比べてみると、下の図の大きさになるね。 これに「5分の2」の大きさを並べてみると、こんな感じかな。 大きさが、全然違うね。 だから、 + は じゃない んだ。 では、どうやって計算するんだろう。分数式の通分と計算 x=1, x=1 のときには、この数式は成立しません。分母がゼロだと、すなわちゼロで割るとエラーになります。 繁分数式の計算 (分母と分子に同じ数や文字や因数を掛けても、分数の大きさが変わらないことを利用する)



足し算とひき算が混じった分数の計算 Youtube



文字式の分数の問題です 文字式の計算では分母をはらわず 通分することと Okwave
5/6 分母が異なる場合の加法と減法(2)(3分17秒) 6/6 今日のまとめ(1分49秒) 分母に文字を含んだ式の計算で、通分・加法と減法について学びAug 18, 19さて、私たちが知っている変形といえば・・・そうですね、先ほどやった分数式での変形です。これしかありません。 見返してみると確かに式は \(\displaystyle\lim_{n\to\infty}\frac{n}{\sqrt{n^2n}n}\) となっていて分数式になっています。May 08, 17ここでは、繁分数式の計算を見てきました。分母・分子に分数式がある、という式でしたね。 2つの計算方法を紹介しましたが、どちらも「分母・分子にある分数式を消して、見た目をシンプルにしたい」という方針で計算していきます。



改訂版 クリアー数学 P12 4 分数式とその計算



数学を点アップする解法 分数式の和と差 個別学習塾ナレッジ
Jul 28, 17そのために使うのが「time」関数です。 time関数の「分」の部分に休憩時間のセルデータをあてはめることで解決します。 f2をクリック =d2ー まで数式を入れたあと、fx をクリック;May 03, 17分数式 (rational expression) とは、分母・分子が整式となっている分数のことです。Y = x ^ 2 x したがって、その定積分は F(x) =( / 3)x ^ 3 ( / 2)x ^ 2 x c 4。 ここで、x = 1とx = 15を定積分に接続し、両方の計算結果の差を計算します。 差は、プロットされた曲線の下の面積を表します。 面積= F(15)F(1)



高校数学 分数式の加法と減法 分子の次数下げ 受験の月



分数式
X− x−nnnnn 分数式の和・差 解説 分母の異なる分数式の和や差を求めるには,通分により共通な分母に直してから,分子の和や差を計算します。 このとき,共通分母として分母の最大公約数を用いるのが普通です。 (分母の積を分母とすると,最大公約数を用いたときよりも計算量が増える場合が多くなります。 ・・・全員に一定レベルの操作技術を身につけDec 19, 17dax は、計算を実行して 1 つ以上の値を返すために数式 (式) 内で使用できる関数、演算子、および定数のコレクションです。つまり、dax を使用すると、モデル内に既にあるデータから新しい情報を作成できます。 引用:クイック スタート 30 分で学ぶ dax のMay 11, 21時・分・秒の加減算 時間を時・分・秒の単位に変換 時・分・秒の単位を時分秒に変換 生まれてから何秒たった? 江戸時代の時刻換算(不定時法) 江戸時代の時刻換算(定時法) 2都市間の所要時間の計算 徒歩何分の距離は? 指定の距離は徒歩何分?



数 式と証明 分数式 約分 オンライン無料塾 ターンナップ Youtube



3分でわかる 分数の文字式の通分方法 Qikeru 学びを楽しくわかりやすく
時間データの合計値が、1日分を表す「2400(24時間)」を超えると、さらに1日単位で繰り上がります。 たとえば、「700(7時間)」「900(9時間)」「10(12時間)」の合計は「2800(28時間)」ですが、「2400」分は1日分として繰り上がるので、残りの「400(4時間)」分だけが表示されます。 24時間の繰り上がり しかし、時間の合計を計算する場合は「2800」と



高校数学 分数式の加法と減法 基本 受験の月



分数式



部分分数分解の主要パターン おいしい数学



数 式と証明 分数式 分母 分子にさらに分数式が含まれる場合 オンライン無料塾 ターンナップ Youtube



2 の 各項を2つの分数式の差に変更する やり方がわかりません 教えてください Clear



高校数学 分数式の加法と減法 練習編 映像授業のtry It トライイット



メルカリ 4step 数学 数学2 参考書 399 中古や未使用のフリマ



繁分数の計算について 添付画像の上の繁分数について解き方を図で説明しても Okwave



Images Of 分数式 Japaneseclass Jp



1 2 Tdfracx2x1d Descubre Como Resolverlo En Qanda



分数を小数に直すには 分数の計算でよく使う 基本知識 で簡単に理解しよう 中学受験ナビ



分数式の速算法2 係数だけで処理する 怜悧玲瓏 高校数学を天空から俯瞰する



数 式と証明 分数式 通分 分母が因数分解できる場合 オンライン無料塾 ターンナップ Youtube



この分数式は分母を全て同じ数字で合わせないで計算してもいいんですか Clear



繁分数式 の簡単化をしよう 電験3種web



クリアー数学 数2 P12 4 分数式とその計算



クリアー数学 数2 P13 4 分数式とその計算



黒木玄 Gen Kuroki 超算数 高校の教科書でも説明が結構雑い 式 という用語はひどく曖昧で 1 X と X 1 X X と X 1 X X 1 は 式 として等しいのか という問いにこの教科書の読者は答えることができないと思う 検定329 数研 新編



分数式の速算法1 怜悧玲瓏 高校数学を天空から俯瞰する



1行目の式はどうやったらできますか Clear



中学受験算数 分数式の計算の問題 Stupedia



高校数学 分数式による求値問題 練習編 映像授業のtry It トライイット



本 高校数学 4プロセス数学 完成ノート 数研出版 微分法と積分法 図形と方程式 式と証明 複素数と方程式 の落札情報詳細 ヤフオク落札価格情報 オークフリー スマートフォン版



Paypayフリマ 新編 数学ii



高校数学 分数式の乗法と除法 映像授業のtry It トライイット



1 Dfracx2x3y2 2 Dfra Descubre Como Resolverlo En Qanda



Python



改訂版 クリアー数学 P12 4 分数式とその計算



分 数式 の 計算 理系大学生必見 最強の計算サイトwolfram Alphaのススメ



繁分数式 の簡単化をしよう 電験3種web



分数を小数に直すには 分数の計算でよく使う 基本知識 で簡単に理解しよう 中学受験ナビ



高校数学 因数分解 分数が登場する式を因数分解する方法 わかりやすく解説します 数学の面白いこと 役に立つことをまとめたサイト



数 式と証明 分数式 通分 分子が定数のもの オンライン無料塾 ターンナップ Youtube



分数式の加法 減法 Youtube



14 1306号 電子式計算機およびプログラム Astamuse



高校数学 繁分数式 分数の分数 の計算 受験の月



分数式の速算法2 係数だけで処理する 怜悧玲瓏 高校数学を天空から俯瞰する



分数 の 掛け算



分数式の約分 Youtube



メルカリ 進研ゼミ 高校講座 授業challenge 数学ia 数学ii 参考書 500 中古や未使用のフリマ



4 X1 X2 X 4x 5x 3 1 X1x Descubre Como Resolverlo En Qanda



新課程 3trial数学 P10 4 分数式とその計算



1 Dfracx2x3y2 2 Dfra Descubre Como Resolverlo En Qanda



クリアー数学 数2 P12 4 分数式とその計算



分数式の利用で計算を劇的に速くする方法 中学受験プロ講師ブログ



高校数学 分数式の加法と減法 部分分数分解 受験の月



高校数学 分数式の加法と減法 練習編 映像授業のtry It トライイット



数学ii 分数式の計算 やる事は数iの範囲かも で Clear



丸がついてる問題の解き方が分かりません わかりやすく教えてください Clear
コメント
コメントを投稿